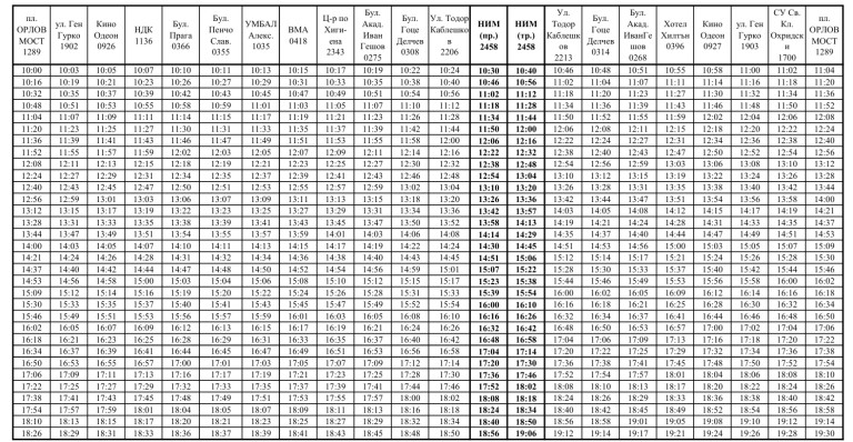
Безплатна атракционна автобусна линия ще работи в София от 10 до 19 часа на 3 март по случай Деня на Освобождението на България, съобщиха от пресцентъра на Столична община (СО). Линията ще се обслужва от три ретро автобуса и един двуетажен автобус. Те ще пътуват с интервал от 16 минути по маршрут от Орлов мост до Националния исторически музей (НИМ) през Кино Одеон, НДК, Петте Кьошета, ВМА, метростанция "България" едноименния булевард.
Автобусите ще спират на още 14 други спирки. Маршрутът прави връзка с всички линии на метрото - на Орлов мост, НДК и метростанция "България". Работното време на атракционната линия е съобразено с това на НИМ.

Източник: Столична община
Емблематични модели градски автобуси, возили в миналото софиянци, като "Чавдар", "Икарус" и "Мерцедес", са възстановени в автентичния си вид. Те са собственост на "Столичен автотранспорт" ЕАД, на Сдружение "Градски транспорт и инфраструктура" и "Ikarus Tour Sofia".
Атракционната линия се организира за втора поредна година със съдействието на Столична община и Транспорт за София.

Източник: СО